درایر در واقع همان خشک کن یا رطوبت گیر هوای کمپرسور میباشد. هوایی که در کمپرسور وجود دارد از آب و رطوبت برخوردار است و برای اینکه بتوان آب موجود در هوا را از بین برد باید از دستگاه خشک کن هوا تبریدی استفاده نمود. دستگاه خشک کن هوا تبریدی میتواند هوای داخل دستگاه کمپرسور را تا ۳ درجه خنک کند که همین موضوع باعث خارج شدن هوایی بدون رطوبت و نم میشود.
.png)
بعد از اینکه دستگاه کمپرسور نصب شد باید بعد از آن دستگاه خشک کن تبریدی تعبیه نمود. در صورتیکه دستگاه خشک کن هوا تبریدی نصب نشود صدماتی را به بخش های مختلف کمپرسور وارد خواهد کرد.
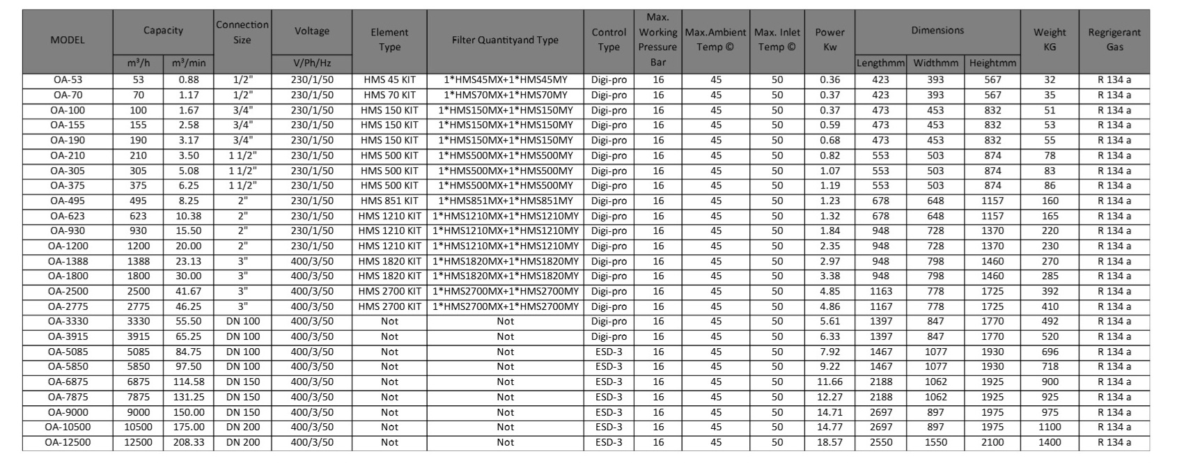
جدول مشخصات فنی درایر تبریدی:

از جمله نکاتی که باید در هنگام خرید خشک کن هوا تبریدی در نظر بگیرید ابعاد آن میباشد. ابعاد دستگاه باید به نحوی باشد که نه زیاد کوچک باشد و نه زیاد بزرگ. اگر ابعاد دستگاه خشک کن هوا تبریدی زیاد کوچک باشد موجب میشود تا دستگاه بیش از اندازه گرم شده و به همین ترتیب راندمان کار نیز کاهش یابد.
یک سری نکات بسیار مهم در خرید خشک کن هوا تبریدی وجود دارد که در ادامه به آنها خواهیم پرداخت. قطعات دستگاه خشک کن هوا تبریدی باید قابلیت دسترسی خوبی داشته باشند. اگر یک قطعه درون دستگاه خشک کن هوا تبریدی خراب شد باید بتوان به قطعه مورد نظر به راحتی دسترسی پیدا کرد.
مصرف انرژی یکی از نکات بسیار مهم دستگاه خشک کن تبریدی میباشد. برخی از انواع خشک کن هوا وجود دارند که مصرف انرژی بالایی دارند و به هیچ وجه مقرون بصرفه نمیباشند. قبل از خرید از میزان مصرف انرژی دستگاه اطمینان حاصل کنید.
یک دستگاه خشک کن هوا تبریدی نباید افت فشار داشته باشد. افت فشار دستگاه باعث میشود تا هوای خارج شده از کمپرسور در مواقعی به صورت نم دار خارج شود. فشار دستگاه همواره باید ثابت باشد و هیچگونه نوسانی نداشته باشد.
دستگاه خشک کن هوا تبریدی ( یا اصطلاحا داریر تبریدی ) باید بتواند صد درصد از هوا را خشک کند. برخی از دستگاه هایی که در بازار وجود دارند متاسفانه مقدار کمی از هوا را خشک میکنند که در واقع کیفیت پایین آنها را نشان میدهد.
به ابعاد مناسب درایر حتما دقت کنید. اگرفضای شما برای نصب خشک کن کافی نمیباشد باید ابعادی را برای خشک کن هوا در نظر بگیرید که به راحتی در موتورخانه و یا مکانی که در نظر گرفته اید نصب شود.
جدول ضرایب تصحیح درایر تبریدی:

مزایای درایر تبریدی سری OA
* مصرف پایین انرژی
* استفاده ازگاز R404a , R134a مناسب لایه اوزون
* دارای کابینت مناسب و دسترسی آسان به قطعات
* شیر تخلیه اتوماتیک
* افت فشار پایین حتی در شرایط کاری متغییر
* دارای مبدل هوا به هوا جهت خنک کاری سریع
* عمر طولانی و عدم نیاز به سرویس های دوره ای کوتاه مدت
اهمیت استفاده از درایر تبریدی در سیستمهای هوای فشرده
درایر تبریدی که با نام خشککن هوا تبریدی نیز شناخته میشود، یکی از مهمترین تجهیزات در سیستمهای هوای فشرده است. وظیفهی اصلی این دستگاه، حذف رطوبت و بخار آب موجود در هوای فشرده خروجی از کمپرسور است. وجود رطوبت در خطوط هوای فشرده میتواند باعث زنگزدگی، خرابی ابزار دقیق، افت کیفیت محصول نهایی و کاهش عمر تجهیزات شود.
به همین دلیل، نصب و استفاده از درایر تبریدی در کنار کمپرسور هوا، یک ضرورت حیاتی در هر واحد صنعتی بهشمار میرود.
عملکرد درایر تبریدی چگونه است؟
مکانیزم کار درایر تبریدی بر پایهی سرمایش و تقطیر بخار آب موجود در هوا است. در این فرآیند، هوای فشردهی گرم از کمپرسور وارد مبدل حرارتی درایر میشود، در آنجا خنک شده و بخار آب موجود در آن به مایع تبدیل میگردد. سپس قطرات آب از جریان هوا جدا شده و از طریق شیر تخلیه از سیستم خارج میشوند.
در نتیجه، هوای خروجی از درایر تبریدی خشکتر، خنکتر و آمادهی استفاده در تجهیزات حساس خواهد بود.
مزایای استفاده از خشککن هوا تبریدی
استفاده از درایر تبریدی باکیفیت مزایای متعددی را برای خطوط تولید و صنایع مختلف فراهم میکند، از جمله:
-
✅ جلوگیری از خوردگی و زنگزدگی در لولهها و تجهیزات پنوماتیک
-
✅ افزایش عمر فیلترها، شیرها و ابزار دقیق
-
✅ بهبود عملکرد ماشینآلات حساس
-
✅ کاهش هزینههای تعمیر و نگهداری
-
✅ پایداری در کیفیت هوای فشرده
-
✅ کاهش توقفهای ناگهانی در خطوط تولید
مقایسه انواع درایر تبریدی و درایر جذبی
در انتخاب نوع خشککن هوا، شناخت تفاوت بین درایر تبریدی و درایر جذبی اهمیت زیادی دارد. جدول زیر تفاوتهای کلیدی این دو نوع را نشان میدهد:
| ویژگیها |
درایر تبریدی (خشککن هوا تبریدی) |
درایر جذبی (خشککن مواد جاذب رطوبت) |
| روش حذف رطوبت |
خنکسازی و تقطیر بخار آب |
جذب مولکولی رطوبت توسط مواد جاذب |
| نقطه شبنم (Dew Point) |
حدود +3°C تا +5°C |
تا -40°C یا پایینتر |
| هزینه نگهداری |
پایینتر |
بالاتر |
| مصرف انرژی |
کمتر |
بیشتر |
| کاربردها |
صنایع عمومی، کارگاهها، خطوط بستهبندی |
صنایع دارویی، غذایی و پتروشیمی |
| نیاز به تعویض مواد مصرفی |
ندارد |
دارد (مواد جاذب) |
| قیمت تقریبی |
اقتصادیتر |
گرانتر |
همانطور که در جدول مشاهده میشود، درایر تبریدی برای کاربردهای عمومی و صنعتی معمولی گزینهای مقرونبهصرفه و کاربردی است، در حالی که درایر جذبی بیشتر برای محیطهای فوق خشک و حساس مورد استفاده قرار میگیرد.
اجزای اصلی تشکیلدهنده درایر تبریدی
یک درایر تبریدی باکیفیت از چند بخش کلیدی تشکیل شده است که هرکدام نقشی حیاتی در فرآیند خشکسازی هوا دارند:
-
کمپرسور تبرید – مسئول فشردهسازی گاز مبرد برای خنکسازی هوای فشرده
-
مبدل حرارتی هوا به هوا – کاهش اولیه دمای هوا با استفاده از هوای خروجی سرد
-
مبدل حرارتی هوا به مبرد – محل اصلی تقطیر بخار آب
-
سپراتور رطوبت (Separator) – جداکننده قطرات آب از جریان هوا
-
شیر تخلیه اتوماتیک (Auto Drain Valve) – خروج خودکار آب جمعشده
-
تابلو کنترل الکترونیکی – نظارت و تنظیم عملکرد دستگاه
-
فیلتر ورودی و خروجی – حذف ذرات جامد و آلودگیهای باقیمانده
کاربردهای درایر تبریدی در صنایع مختلف
درایر تبریدی یکی از تجهیزات پرکاربرد در صنایع گوناگون است، از جمله:
-
🏭 صنایع خودروسازی و قطعهسازی
-
🧴 صنایع غذایی و بستهبندی
-
🏗️ کارخانجات سیمان و فلزات
-
🧰 کارگاههای ابزارسازی و رنگ
-
🧪 صنایع شیمیایی و دارویی
-
⚙️ خطوط رنگپاشی اتوماتیک
در تمام این صنایع، هوای خشک و بدون رطوبت نقش کلیدی در کیفیت نهایی محصول و عملکرد تجهیزات دارد.
نکات مهم در نگهداری و افزایش عمر درایر تبریدی
برای عملکرد بهینه و افزایش عمر مفید دستگاه، رعایت نکات زیر ضروری است:
-
استفاده از فیلترهای پیشفیلتر قبل از ورود هوا به درایر
-
بررسی و تخلیه منظم رطوبت از شیر تخلیه
-
تمیز نگهداشتن کندانسور تبرید
-
کنترل منظم فشار ورودی و دمای محیط
-
سرویس دورهای کمپرسور تبرید و مبدلها
رعایت این نکات باعث میشود درایر تبریدی شما سالها بدون افت کیفیت کار کند و هزینههای تعمیرات به حداقل برسد.
راهنمای خرید درایر تبریدی ( خشک کن هوا تبریدی ) مناسب
در هنگام خرید درایر تبریدی (خشککن هوا تبریدی)، توجه به موارد زیر اهمیت دارد:
-
ظرفیت هوای فشرده (CFM یا m³/min)
باید متناسب با ظرفیت کمپرسور و مصرف خطوط باشد.
-
فشار کاری سیستم (Bar)
درایر باید با فشار کاری سیستم شما سازگار باشد.
-
دمای ورودی هوا و محیط
برای عملکرد مطلوب، دمای ورودی باید در محدوده توصیهشده سازنده باشد.
-
نوع مبرد استفادهشده
مبردهای جدیدتر مانند R407C یا R134a راندمان بالاتر و سازگاری زیستمحیطی دارند.
-
برند و خدمات پس از فروش
انتخاب برند معتبر و نمایندگی رسمی تضمینکننده دوام و دسترسی به قطعات یدکی است.
جمعبندی نهایی: چرا باید از درایر تبریدی استفاده کنیم؟
درایر تبریدی یا خشک کن هوا تبریدی یکی از ضروریترین تجهیزات برای حفظ کیفیت هوای فشرده و افزایش طول عمر تجهیزات صنعتی است.
این دستگاه با حذف مؤثر رطوبت، از آسیبهای جدی به سیستم پنوماتیک جلوگیری کرده و هزینههای نگهداری را به شکل چشمگیری کاهش میدهد.
اگر در جستجوی خرید درایر تبریدی باکیفیت و مقرونبهصرفه هستید، پیشنهاد میشود از مجموعههای معتبر مانند شرکت هوامدار بازدید کرده و با مشاوره کارشناسان فنی، مدل متناسب با ظرفیت و نیاز مجموعه خود را انتخاب کنید.
سوالات متداول درایر تبریدی (خشککن هوا تبریدی)
درایر تبریدی چیست و چه کاربردی دارد؟
درایر تبریدی که با نام خشککن هوا تبریدی نیز شناخته میشود، دستگاهی است که رطوبت موجود در هوای فشرده را از طریق سیستم خنککننده حذف میکند تا از زنگزدگی و خرابی تجهیزات پنوماتیک جلوگیری شود.
تفاوت درایر تبریدی با درایر جذبی در چیست؟
درایر تبریدی از روش سرمایش برای تقطیر بخار آب استفاده میکند، در حالی که درایر جذبی با مواد جاذب رطوبت کار میکند. درایر تبریدی اقتصادیتر است اما درایر جذبی برای محیطهای فوق خشک مناسبتر است.
مزایای استفاده از خشککن هوا تبریدی چیست؟
افزایش عمر تجهیزات، جلوگیری از زنگزدگی لولهها، کاهش هزینههای نگهداری و بهبود کیفیت محصول از مهمترین مزایای استفاده از خشککن هوا تبریدی هستند.
آیا درایر تبریدی نیاز به سرویس دورهای دارد؟
بله، برای عملکرد بهینه لازم است فیلترها، کندانسور و شیر تخلیه دستگاه بهصورت دورهای بررسی و تمیز شوند تا کارایی سیستم حفظ شود.
نقطه شبنم در درایر تبریدی چقدر است؟
درایر تبریدی معمولاً نقطه شبنم بین +3 تا +5 درجه سانتیگراد دارد که برای اکثر کاربردهای صنعتی کاملاً مناسب است.
آیا خشککن هوا تبریدی برای تمام صنایع مناسب است؟
درایر تبریدی برای صنایع عمومی مانند کارگاهها، کارخانههای بستهبندی، خودروسازی و صنایع فلزی بسیار مناسب است، اما برای صنایع دارویی و حساس بهتر است از نوع جذبی استفاده شود.
چگونه ظرفیت مناسب درایر تبریدی را انتخاب کنیم؟
ظرفیت درایر باید متناسب با حجم هوای خروجی از کمپرسور و نیاز خطوط مصرف باشد. انتخاب ظرفیت پایینتر باعث افت راندمان و افزایش رطوبت در سیستم میشود.
مصرف انرژی درایر تبریدی چقدر است؟
درایر تبریدی نسبت به سایر خشککنها مصرف انرژی کمتری دارد و گزینهای اقتصادی برای خطوط تولید مداوم محسوب میشود.
آیا خرید آنلاین درایر تبریدی مطمئن است؟
بله، در صورت خرید از فروشگاههای معتبر مانند هوا مدار، میتوانید با اطمینان از کیفیت محصول و گارانتی رسمی بهرهمند شوید.
چگونه طول عمر درایر تبریدی را افزایش دهیم؟
استفاده از فیلترهای مناسب قبل از ورود هوا، سرویس منظم دستگاه و کنترل دمای محیط از مهمترین عواملی هستند که باعث افزایش طول عمر درایر تبریدی میشوند.